
문제 링크
https://www.acmicpc.net/problem/11438
풀이
LCA 기본 문제이다. 선행 문제인 이 문제는 시간 복잡도가 쿼리당 O(N)으로 풀 수 있었지만 이 문제는 시간 초과가 발생한다. 그렇기 때문에 이 문제는 sparse table을 이용하여 조금 더 최적화를 해야 한다.
sparse table은 2^k = 2^(k-1) + 2^(k-1)인 것을 이용하여 모든 정점에서 2^k 만큼 움직이면 어떤 점으로 이용동하는지 dp와 비슷하게 구해놓는다. 이 전처리는 O(NlogN)에 할 수 있다.
dp[k][i] : i번째 노드에서 2^k 움직이면 도착하는 노드
// sparse table 코드
for (int k = 1; k <= 20; k++) {
for (int i = 1; i <= n; i++) {
dp[k][i] = dp[k - 1][dp[k - 1][i]];
}
}
쿼리를 입력받았을 때 로직은 O(N)풀이와 동일하지만 구하는 방법이 조금 다르다.
1) 두 노드의 level을 맞춘다
2) 두 노드를 부모가 동일할때 까지 올린다.
두 노드의 level 차가 만약 7이라면 4 -> 2 -> 1씩 움직여 O(logN)의 시간 복잡도에 level을 맞춘다.
if (lev[a] > lev[b]) swap(a, b); // b가 a보다 더 크게 만든다
//20은 log2(100000)보다 큰 수를 임의로 잡았다
for (int i = 20; i >= 0; i--) {
if (lev[b] - lev[a] >= (1 << i)) b = dp[i][b];
}
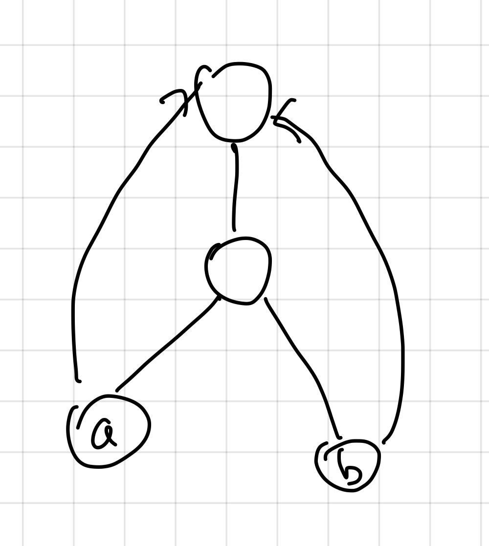
level을 동일하게 맞췄다면 아래 그림과 같이 최소 공통 조상보다 더 조상 노드로 간다면 조상노드는 항상 일치한다는 특성을 이용한다.

만약 2^20움직였을 때 두 조상이 다르다면 최소 공통 조상은 2^20보다 위에 있는 것이다. 그렇기 때문에 2^20만큼 움직인다. 하지만 만약 두 조상이 같다면 최소 공통 조상보다 더 조상 노드가 되는 것이기 때문에 움직이지 않는다. 이러한 방법으로 2^20 2^19... 1 씩 움직일 수 있는지 체크하며 움직이면 두 노드는 최소 공통조상 바로 아래 노드에 위치할 것이다.
for (int i = 20; i >= 0; i--) {
if (dp[i][a] != dp[i][b]) {
a = dp[i][a];
b = dp[i][b];
}
}
전체 코드
#include <cstdio>
#include <vector>
using namespace std;
vector<int> v[100005];
int dp[21][100005], lev[100005];
void dfs(int cur, int prv) {
dp[0][cur] = prv;
lev[cur] = lev[prv] + 1;
for (auto nxt : v[cur]) {
if (prv != nxt) dfs(nxt, cur);
}
}
int query(int a, int b) {
if (lev[a] > lev[b]) swap(a, b);
for (int i = 20; i >= 0; i--) {
if (lev[b] - lev[a] >= (1 << i)) b = dp[i][b];
}
if (a == b) return a;
for (int i = 20; i >= 0; i--) {
if (dp[i][a] != dp[i][b]) {
a = dp[i][a];
b = dp[i][b];
}
}
return dp[0][a]; //a의 부모노드를 출력
}
int main() {
int n; scanf("%d", &n);
for (int i = 0; i < n - 1; i++) {
int a, b; scanf("%d %d", &a, &b);
v[a].push_back(b);
v[b].push_back(a);
}
dfs(1, 0);
for (int k = 1; k <= 20; k++) {
for (int i = 1; i <= n; i++) {
dp[k][i] = dp[k - 1][dp[k - 1][i]];
}
}
int m; scanf("%d", &m);
while (m--) {
int a, b; scanf("%d %d", &a, &b);
printf("%d\n", query(a, b));
}
}
'Algorithm > BOJ' 카테고리의 다른 글
| 백준[13511] 트리와 쿼리 2 (0) | 2021.07.25 |
|---|---|
| 백준[3176] 도로 네트워크 (0) | 2021.07.25 |
| 백준[17435] 합성함수와 쿼리 (0) | 2021.07.23 |
| 백준[3584] 가장 가까운 최소 공통 조상 (0) | 2021.07.23 |
| 백준[1766] 문제집 (0) | 2021.07.22 |